Rumus Statistika Matematika
Pelajaran Statistika di tingkat SMA meliputi mean, modus, median, jangkauan, simpangan, dan ragam
1. Rumus Rataan Hitung (Mean)
Rata-rata hitung dihitung dengan cara membagi jumlah nilai data dengan banyaknya data. Rata-rata hitung bisa juga disebut mean.
a) Rumus Rataan Hitung dari Data Tunggal
b) Rumus Rataan Hitung Untuk Data yang Disajikan Dalam Distribusi Frekuensi
Dengan : fixi = frekuensi untuk nilai xi yang bersesuaian
xi = data ke-i
c) Rumus Rataan Hitung Gabungan
2. Rumus Modus
a. Data yang belum dikelompokkan
Modus dari data yang belum dikelompokkan adalah ukuran yang memiliki frekuensi tertinggi. Modus dilambangkan mo.
b. Data yang telah dikelompokkan
Rumus Modus dari data yang telah dikelompokkan dihitung dengan rumus:
Dengan : Mo = Modus
L = Tepi bawah kelas yang memiliki frekuensi tertinggi (kelas modus) i = Interval kelas
b1 = Frekuensi kelas modus dikurangi frekuensi kelas interval terdekat sebelumnya
b2 = frekuensi kelas modus dikurangi frekuensi kelas interval terdekat sesudahnya
3. Rumus Median (Nilai Tengah)
a) Data yang belum dikelompokkan
Untuk mencari median, data harus dikelompokan terlebih dahulu dari yang terkecil sampai yang terbesar.
b) Data yang Dikelompokkan
Dengan : Qj = Kuartil ke-j
j = 1, 2, 3
i = Interval kelas
Lj = Tepi bawah kelas Qj
fk = Frekuensi kumulatif sebelum kelas Qj
f = Frekuensi kelas Qj
n = Banyak data
4. Rumus Jangkauan ( J )
Selisih antara nilai data terbesar dengan nilai data terkecil.
5. Rumus Simpangan Quartil (Qd)
7. Rumus Simpangan rata – rata (SR)
8. Rumus Ragam (R)
Contoh soal statistika
Tabel 1.1 dibawah ini:
Jawab :
Limit Fungsi Trigonometri
Fungsi trigonometri ( sinus dan cosinus ) merupakan fungsi kontinu,
sehingga limit fungsi sinus dan cosinus di setiap titik sama dengan
nilai fungsinya, yaitu :
Turunan dari fungsi sinus dapat diperoleh dari definisi, yaitu :
Sedangkan untuk turunan fungsi cosinus diperoleh berikut:
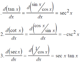
Untuk turunan fungsi trrigonometri yang lain dapat diperoleh dengan menerapkan
rumus perhitungan turunan :
Untuk Tutorial Limit Fungsi Trigonometri bisa melihat video dibawah ini:
Limit Fungsi Trigonometri 1
Limit Fungsi Trigonometri 2 


















 
ok makasih pra,,,,
BalasHapusmantap...
Ok,,sama2 apparra,,
Hapus